1) Testing Rig and Morphing blade prototype.
The rig consists of a couple of linear motors (LinMot) connected to a blade. The rig has two degrees of freedom to generate pitching and heaving motions. For the purpose of these experiments, only one degree of freedom (heaving) will be used.
The morphing prototype consists of NACA 0012 profile with of a torsional spring attached to a flap. The flap hinges at x/c = 0.75, where c is the chord of the blade and is equal to 0.10 m. The span of the blade is s = 0.4 m. A heaving motion has been tested with parameters amplitude (a/c) and freestream velocity (U) set to: a/c = 0.3 mm and a U = 0.5 m/s.
2) Analytical Results.
Further data is in preparation by Gabriele Pisetta. Analytical results confirm that a passively pitching blade is able to attenuate loads on a rotating tidal turbine.
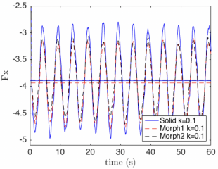
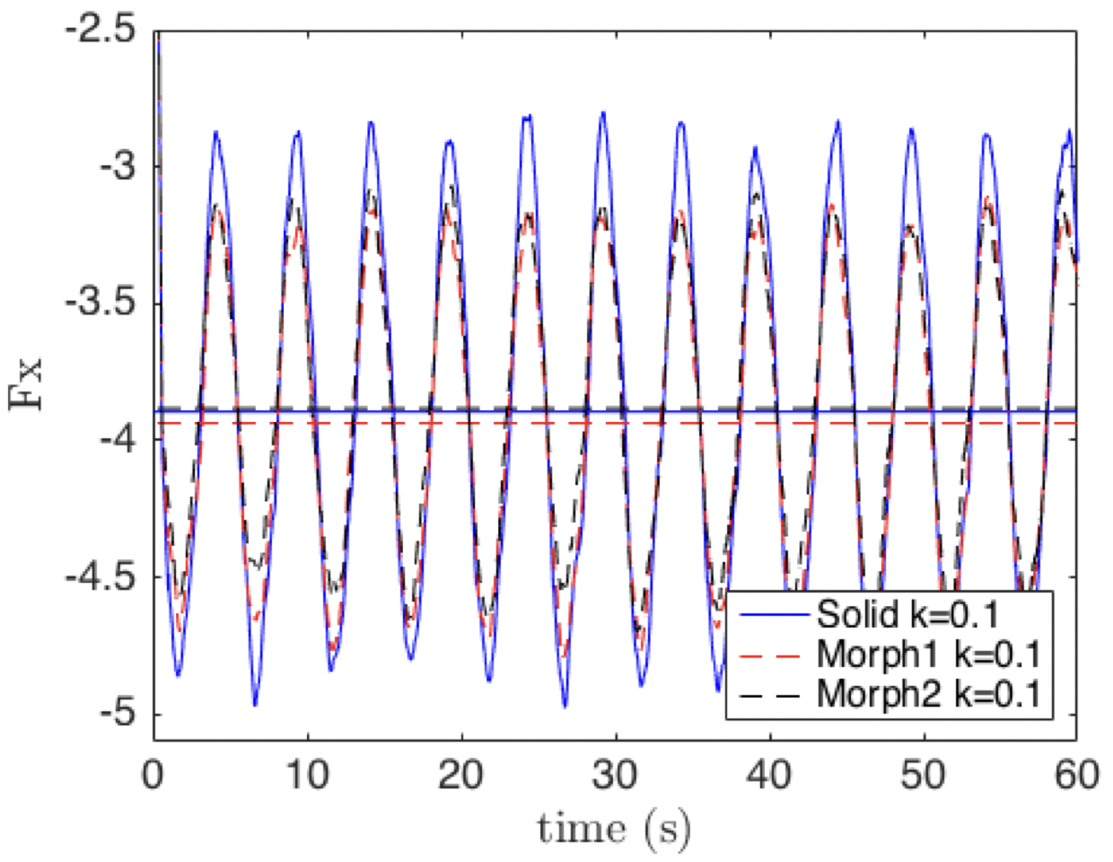
3) Experimental Results.
Initial results show that the vertical force component (Fx) acting on the morphing blade is mitigated by the passively actuated of the flap. These results are in agreement with results presented in the previous work of Tully, S. and Viola, I.M. (2016), “Reducing the wave induced loading of tidal turbine blades through the use of a flexible blade”, International Symposium on Transport Phenomena and Dynamics of Rotating Machinery (ISROMAC 2016), p. 9, where it was shown that a flexible blade design could be used to mitigate the loads experienced by fluctuating flow conditions.





